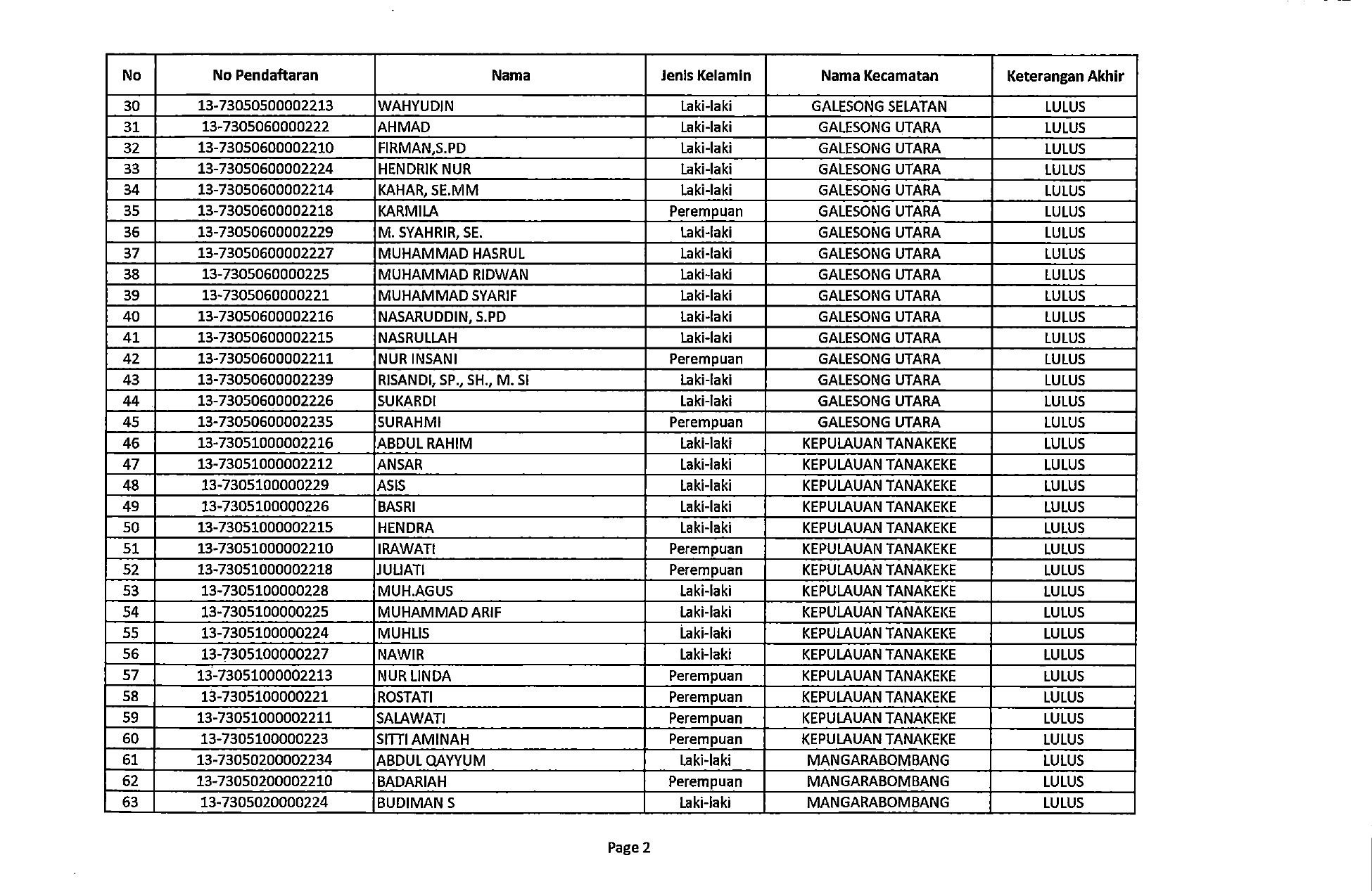
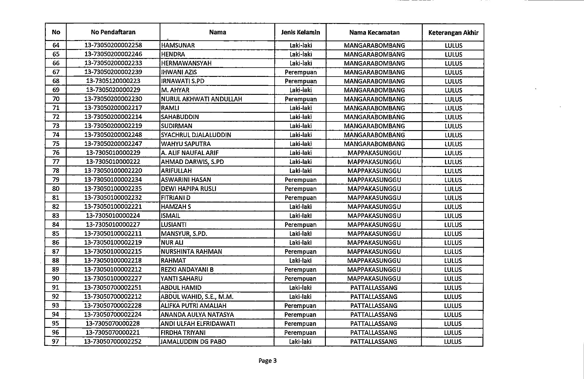
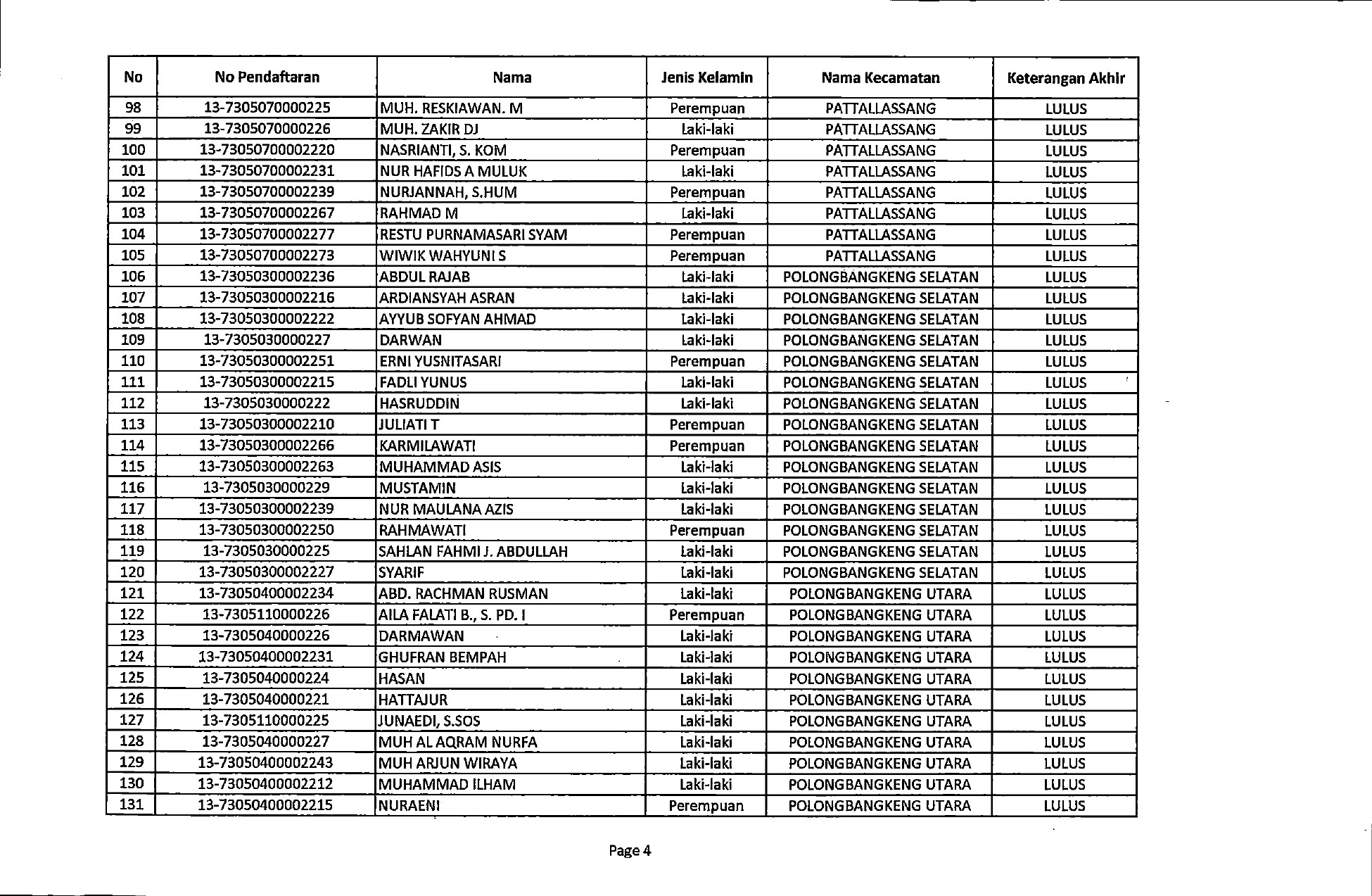
Penetapan Hasil Seleksi Tertulis Computer Assisted Test (CAT) Calon Panitia Pemilihan Kecamatan untuk Pemilihan Umum Tahun 2024
Penetapan Hasil Seleksi Tertulis Computer Assisted Test (CAT) Calon Panitia Pemilihan Kecamatan untuk Pemilihan Umum Tahun 2024








Bagikan:
Dilihat 171 Kali.